
Prenez un nombre quelconque, positif ou négatif, et élevez-le au carré. Le résultat sera toujours positif. Et pourtant, en cette fin de Renaissance, l’utilité d’introduire des carrés négatifs se fait jour, ouvrant la voie à des nombres imaginaires et un monde complexe. Mais pourquoi ?
Les équations de 3ème degré

Au XVIème siècle, le mathématicien italien Jérome Cardan (1501-1576) écrit dans son traité Artis Magnae (1545) une méthode permettant de résoudre certaines équations de degré 3. La résolution de degré 2 de la forme ax² + bx + c = 0 à l’aide de discriminant avait déjà été découverte au VIIIème siècle par le mathématicien arabe Al-Khwarismi.
La méthode de Cardan sert à trouver une solution aux équations de la forme :![]()
Où p et q sont deux nombres réels. On calcule le nombre :
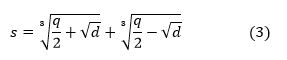
Si d ≥ 0, alors une solution de l’équation est le nombre :
Pas simple. Pour mieux comprendre cette formule, intéressons-nous au symbole racine cubique.
Le cube de 2 est 8 (2×2×2) et la racine cubique de 8 est 2. De même la racine cubique de 27 est 3 (3×3×3 = 27). En utilisant la méthode de Cardan, on peut par exemple déterminer une solution de l’équation suivante :
On identifie :
On calcule d :
Ce qui vérifie bien que d ≥ 0. On peut donc déterminer une solution de l’équation (4) :
Vérifions que 4 est bien solution de l’équation (4) : 43 = 64 et 9 x 4 +28 = 64, donc 4 est bien solution.
On est à ce stade positivement ravi d’avoir une méthode qui semble marcher et c’est avec un enthousiasme difficilement dissimulable que pour vous amuser, vous pouvez essayer de trouver la solution de l’équation suivante :![]()
Le problème de Cardan
Cardan a essayé sa méthode sur l’équation suivante :![]()
Essayons également. On identifie :
On calcule d :
Problème, d < 0. Pourtant, de façon évidente, on voit que 4 est une solution de l’équation (6) : 43 = 64 et 15×4+4 = 64. La méthode de Cardan ne permet pourtant pas de retrouver cette racine évidente. Il y a un loup dans la bergerie…
Les « nombres impossibles » de Bombelli

Un autre mathématicien du XVIème siècle, Raphaël Bombelli, se penche sur le problème de Cardan. Il se dit que la seule limite à l’utilisation de la méthode de Cardan est de ne pas pouvoir parler de la racine carré de -121 pour appliquer la formule. De façon plus générale, le problème est de ne pas avoir de nombre réel dont le carré est négatif.
Bombelli décide donc d’introduire un nombre noté i dont le carré est -1 :![]()
C’est un « nombre impossible », purement imaginé, auquel on ne donne pas vraiment de sens mais que l’on veut utiliser comme outil de calcul. Je vais reprendre ici une analogie proposée par l’excellent vulgarisateur mathématique Mickaël Launay qu’il évoque dans son ouvrage le théorème du parapluie que je cite de mémoire :
Vous êtes le 26 janvier et vous donnez rendez-vous à un ami dans 10 jours. Quel jour vous retrouverez-vous avec votre ami ? Une méthode consiste à ajouter 10 à la date initiale, ce qui amène au 36 janvier, date évidemment fictive. On retranche alors autant de jours que nécessaire pour atteindre 31, le nombre de jours réels en janvier, ce qui donne 5. Vous vous retrouverez le 5 février. La date du 36 janvier est une date imaginaire, elle a servi d’artifice de calcul, d’intermédiaire. Les nombres imaginaires sont comme cette date, ce sont des artifices de calculs.
En physique par exemple, ils servent à linéariser des équations différentielles en électricité (cours de 1ère année de prépa). Je vous renvoie à cette excellente vidéo sur la chaîne e-learning physique de feu Benoît Hébert pour comprendre à quoi servent les complexes en physique.
Revenons à nos nombres impossibles pour mieux comprendre ce nombre i. Si on calcule le carré de 11i, on trouve 121 i² et comme i² = -1, cela donne -121. 11i est donc une racine de -121 :![]()
De manière générale, grâce à ce nombre i, tous les réels négatifs ont au moins une racine carrée qui est un nombre « impossible ».
Revenons au problème de Cardan avec l’équation (6). Avec ce nombre impossible dont le carré est -121, Bombelli poursuit la résolution de l’équation :
On cherche à trouver un nombre dont le cube est 2 + 11i et un nombre dont le cube est 2 – 11i. Développons (2+i)3 :![]()
2+i est donc une racine cubique de 2+11i. De même on peut démontrer que 2-i est une racine cubique de 2-11i. On en déduit donc que :![]()
On retrouve la solution triviale que Cardan n’obtenait pas avec sa méthode. Les nombres impossibles nous ont donc servi d’intermédiaire de calcul pour trouver cette racine.
L’utilisation des nombres « impossibles » a perduré puisqu’elle permet de déterminer des solutions réelles à des équations. Descartes leur donnera le nom de nombres imaginaires. C’est au XIXème siècle, avec d’Alembert et Euler, qu’auront lieu des avancées dans l’étude, la compréhension et l’utilisation de ces nombres que l’on appellera nombres complexes.
Bibliographie
- Launay M., Le théorème du parapluie, Flammarion
- Wikipedia, Histoire des nombres complexes
- Wikipedia, Jérôme Cardan
- Wikipedia, Raphaël Bombelli
L’image en avant a été générée par l’intelligence artificielle.
Toutes les autres images sont issues de Wikipedia.

Laisser un commentaire