Les expériences de transformation de la matière ont toujours fasciné les hommes. Elles ont souvent été source de chimères comme la recherche de la transmutation du plomb en or, et à l’aube de la Révolution française, les chimistes se perdent dans un catalogue de noms plus poétiques les uns que les autres. Mais voilà qu’une observation inattendue va ébranler toute la chimie : l’eau n’est pas un élément fondamental…
A lire ou écouter, la petite histoire de l’hydrogène.Podcast
L’hydrogène avant Lavoisier
Les anglais sont les premiers à identifier un gaz inflammable.
En notation moderne, la réaction entre le fer et l’acide s’écrit sous la forme :
![]()
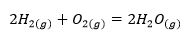
Et la réaction de combustion observée par Paracelse :
![]()
Les français cherchent la nature de l’air inflammable
Lavoisier propose de nommer hydrogène cette substance. L’hydrogénium (et ses dérivations dans plusieurs langues modernes) est une combinaison des mots grecs ΰδωρ [hydōr] = eau, et du grec γεινομαι (geinomai) = engendrer, faire naître. Littéralement hydrogène signifie « qui génère de l’eau ».
Au-delà du changement de nom opéré par Lavoisier, c’est une véritable révolution qui est en marche puisque depuis l’Antiquité était enseigné que l’eau était un élément fondamental, or Lavoisier démontre qu’il n’en est rien et peut être généré à partir de substances plus primordiales comme l’hydrogène. Il identifiera l’oxygène un peu tard. Lavoisier rouvre ainsi la porte à l’atomisme.
Bibliographie
- Berthelot, Marcellin (1827-1907). La révolution chimique : Lavoisier, ouvrage suivi de notices et extraits des registres inédits de laboratoire de Lavoisier / par M. Berthelot,…. 1890. Consultable en ligne : ici.
- Gaudillère, Jean-Paul, LAVOISIER, PRIESTLEY, LE PHLOGISTIQUE ET L’OXYGÈNE de l’étude de controverse à la replication pédagogique, Institut Français de l’Education. Consultable en ligne : ici.
- Grimaux, Édouard (1835-1900). Lavoisier : 1743-1794 : d’après sa correspondance, ses manuscrits, ses papiers de famille et d’autres documents inédits ([Reprod. en fac-sim.]) Edouard Grimaux. 1896. Consultable en ligne : ici.
- Lavoisier Antoine, Mémoires, Tome I et II, consultables en ligne : ici.
- Lavoisier Antoine, Mémoire dans lequel on a pour objet de prouver que l’eau n’est pas une substance simple, un élément proprement dit, mais qu’elle est susceptible de décomposition et de recomposition. Lu par Lavoisier à l’Académie dans la séance de la Saint Martin, 1783. Œuvres II, p. 341.
- Monge Gaspard, Monge à Vandermonde [juillet 1783], 1783-08-09. Éditeur : Projet EMAN, Marie Dupond (UDPN/USPC) & Institut des textes et manuscrits modernes, CNRS-ENS. Consulté le 08/12/2019 sur la plate-forme EMAN.
Programmation musicale
- Introduction : Antonin Dvorák, Symphony No. 9 en mi mineur (du Nouveau Monde), B. 178 (Op. 95), 1893, 1. Adagio – Allegro molto.
- Nicolas Dalayrac, Quatuor concertant pour deux violons, alto et basse en mi majeur opus 7, Minuetto,1781
- Franz Joseph Haydn, The Bird, Quatuor à cordes n°32, en Do majeur op. 33 n°3, 4ème mouvement : Rondo. Presto, 1781
- Nicolas Dalayrac, Quatuor concertant pour deux violons, alto et basse en ré majeur opus 7, 1781
- Nicolas Dalayrac, Ouverture d’Azémia ou les sauvages, comédie en trois actes, 1786.
L’image en avant a été générée par l’intelligence artificielle.
Toutes les autres images sont issues de Wikipedia.

Laisser un commentaire