En cette fin de XIXe siècle, l’étude des rayons est à la mode : les rayons X en Allemagne, les rayons uraniques en France et les rayons cathodiques en Angleterre. Mais de quoi sont faits ces rayons cathodiques? C’est pour répondre à cette question que l’anglais Joseph John Thomson entreprend des expériences qu’il publie dans un article intitulé Cathode Rays[1]
A regarder ou à écouter, le contexte de la découverte.
A lire ci-dessous, un déchiffrage de l’article clé de 1897 qui va révéler les électrons.

Deux théories opposent alors les physiciens, est-ce que les rayons cathodiques sont un processus d’ondes électromagnétiques se propageant dans l’éther, processus qui n’est pas observé pour d’autres rayons, ou bien deuxième hypothèse : les rayons sont-ils constitués de particules ayant une masse et une charge négative ? On peut schématiquement partager les physiciens en deux camps : les allemands soutiennent l’idée d’ondes électromagnétiques alors que les anglais sont partisans d’une théorie corpusculaire.
« La question suivante se pose: quelles sont ces particules? Sont-elles des atomes ou des molécules, ou de la matière dans un état de subdivision plus fin? Pour éclaircir ce point, j’ai procédé à une série de mesures du rapport entre la masse de ces particules et la charge qu’il porte. »

Pour répondre à cette question, Thomson va utiliser deux méthodes. Dans un premier temps, il fait l’hypothèse que toute l’énergie cinétique des particules est transformée en chaleur lorsque le rayon impacte le verre et qu’en mesurant l’élévation de température d’un corps de capacité thermique connue, on pourra remonter au rapport de la masse sur la charge. Dans un deuxième temps, la connaissance du champ électrique et magnétique appliqués sur la particule qui sera dévié d’un certain angle suffiront pour remonter à ce rapport m/e.
1ère méthode pour déterminer le rapport m/e
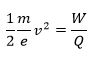
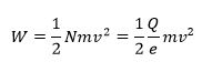
Supposons que nous considérions un faisceau de rayons cathodiques homogènes. Soit m la masse de chacune des particules et e la charge qu’elle porte. Soit N le nombre de particules traversant une section du faisceau dans un temps donné; alors la quantité d’électricité Q transportée par ces particules est donnée par l’équation :

Soit W, l’énergie cinétique des particules, et v est la vitesse des particules alors :

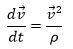
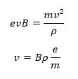
Appliquons la relation fondamentale de la dynamique sur la particule soumise à une force magnétique :

La force étant centripète, il vient :

où ρ est le rayon de courbure du trajet de ces rayons dans un champ magnétique uniforme B.
En norme, on a donc :

Et en utilisant l’expression de l’énergie cinétique :

En utilisant l’expression de la vitesse :

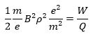
On a finalement :

Donc si on connait les valeurs de Q, W, B et ρ, on peut en déduire les valeurs de m/e et v.
Pour connaitre ρ, une petite règle de Pythagore appliquée à son dispositif lui permet d’y accéder. Supposons que les rayons, lorsqu’ils sont déviés par un aimant, frappent le verre du tube en E :

Soit O le centre du cercle dont AE est un arc. On peut écrire dans le triangle OCE rectangle en C la relation de Pythagore qui donne :

Et comme ρ = OC + AC :

En modifiant quelques paramètres de son montage, en essayant plusieurs gaz, Thomson obtient les valeurs suivantes (où I est le produit B×ρ) :

Thomson en conclue que la valeur de m/e est indépendante de la nature du gaz.
2ème méthode pour déterminer le rapport m/e
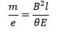
L’autre façon de procéder pour déterminer la valeur de ce rapport est d’utiliser le champ électrostatique et le champ magnétique. En utilisant encore le principe fondamental de la dynamique, on peut démontrer que le rapport m/e vaut alors :

Où θ est l’angle par lequel les rayons sont déviés lorsqu’ils quittent les champs électrique E et magnétique B. Le champ magnétique a été créé en plaçant à l’extérieur du tube deux bobines de diamètre égal à la longueur l des plaques; les bobines sont placées de manière à couvrir l’espace occupé par les plaques, la distance entre les bobines étant égale au rayon de l’une ou de l’autre.
Les résultats obtenus sont (H est le champ magnétique et F le champ électrique) :

La cathode dans les cinq premières expériences était en aluminium, dans les deux dernières expériences elle était en platine.
Là encore Thomson peut conclure que la valeur de m/e est indépendante de la nature du gaz. Ce rapport m/e avait été préalablement déterminé par électrolyse d’une solution d’acide chlorhydrique à 10-4. Thomson améliore ici la précision de la mesure d’un facteur 1000, ce qui le surprend fort vu les incertitudes de lecture liée à la tache sur le tube cathodique. Cela peut cependant s’interpréter si le porteur de charge a une masse 1000 fois plus petite que le porteur de charge d’une solution d’acide chlorhydrique qui n’est autre que l’hydrogène. Or, l’hydrogène est connu pour être l’atome le plus léger, comment expliquer un rapport m/e aussi faible ? Thomson explique la petitesse de ce rapport par le fait que la masse m de ces particules doit être très faible, ou bien que la charge doit être grande, ou encore une combinaison de ces deux phénomènes. Il écrit dans son article :
« L’explication qui me semble rendre compte de la manière la plus simple et la plus directe des faits est fondée sur une conception de la constitution des éléments chimiques qui a été favorablement appréciée par de nombreux chimistes: cette idée est que les atomes des différents éléments chimiques sont différentes agrégations d’atomes du même genre. Dans la forme dans laquelle cette hypothèse a été énoncée par Prout, les atomes des différents éléments étaient des atomes d’hydrogène; sous cette forme précise, l’hypothèse n’est pas tenable, mais si nous substituons à l’hydrogène une substance primordiale inconnue X, rien de connu ne contredit cette hypothèse.
Si, dans le champ électrique très intense qui se trouve au voisinage de la cathode, les molécules du gaz sont dissociées et se scindent, non pas en atomes chimiques ordinaires, mais en ces atomes primordiaux, que nous appellerons des corpuscules; et si ces corpuscules sont chargés en électricité et projetés à partir de la cathode par le champ électrique, ils se comporteront exactement comme les rayons cathodiques. »
Il faudra attendre quelques mois et 1898 pour que Thomson établisse la valeur absolue de la charge électrique élémentaire. Ces déterminations sont à cette époque les preuves les plus crédibles de l’existence de la particule électron. Elles montrent de manière définitive que l’électricité a un support matériel.
- [1] J.J. Thomson, Cathode Rays, Philosophical Magazine, 5th series, Oct. 1897, pp.293-316
- A history of the Cavendish laboratory 1871-1910, Longmans Green and Co. 1910, p.75 et suivantes
Traduit par moi même.
Bonus du chef :
Activité pédagogique autour de l’article pour les Terminale S
Programmation musicale sur Soundcloud :
- Introduction : Antonin Dvorák, Symphony No. 9 en mi mineur (du Nouveau Monde), B. 178 (Op. 95), 1893, 1. Adagio – Allegro molto.
- Modest Mussorgsky, Boris Godunov, Prologue, Scene 1- Nu, shtozh vy? – Pristav, 1896
- Erik Satie, Gymnopédie n°1, lent et douloureux
- Alexandre Borodine, Seranata Alla Spagnola pour quatuor à cordes, 1886
- Gustav Malher, Symphonie n°1 dite des Titans en ré majeur. Langsam. Schleppend, 1884.
L’image en avant a été générée par l’intelligence artificielle.
Toutes les autres images sont issues de Wikipedia.

Laisser un commentaire